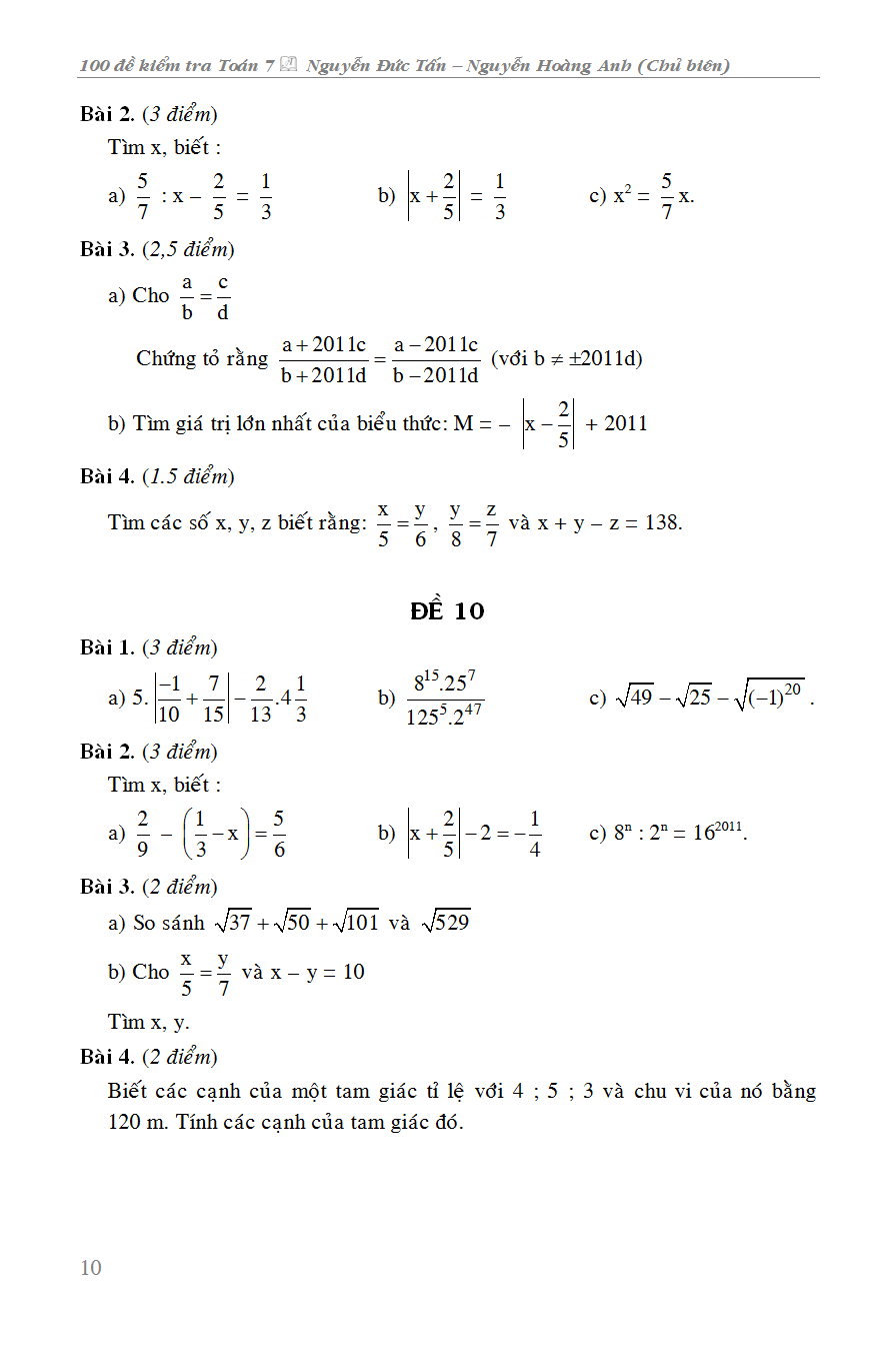
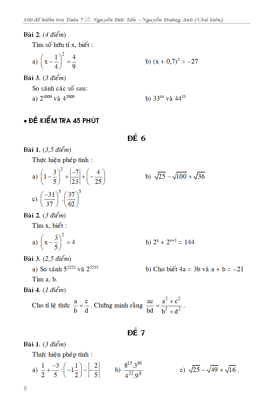
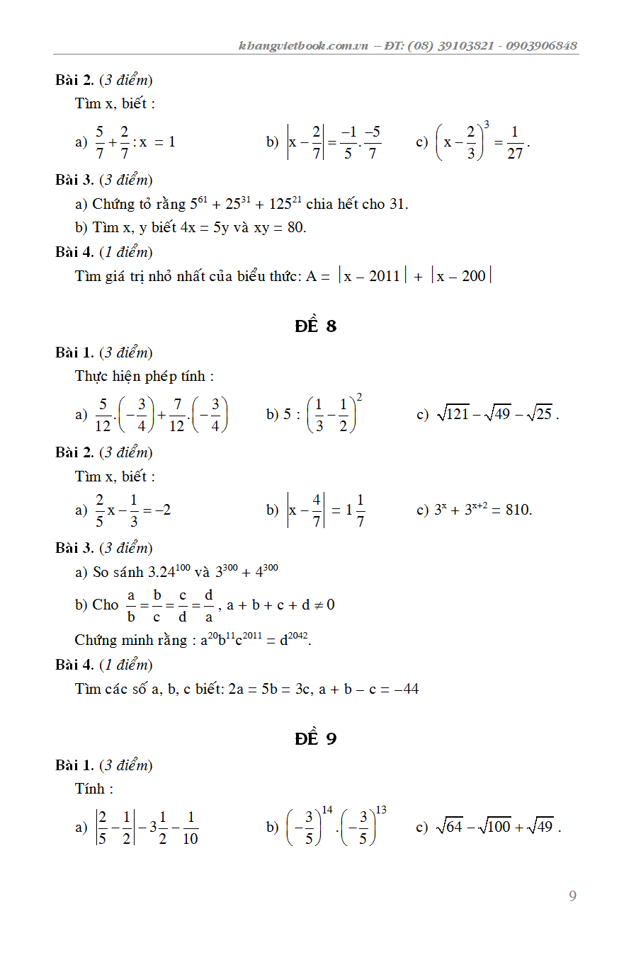
✨ 100 Đề Kiểm Tra Toán 7 _KV















Cuốn sách "100 đề kiểm tra toán 7" là phiên bản mới nhất được tác giả Nguyễn Đức Tấn cùng 5 tác giả khác biên soạn với những nội dung mới nhất được cập nhật bám sát vào chương trình học của học sinh lớp 7. Cuốn sách đưa ra những dạng đề thi kiểm tra 15 phút, 45 phút, kiểm tra học kỳ 1, kiểm tra học kỳ 2 để giúp các thầy cô giáo, các bậc phụ huynh, các em học sinh có tài liệu ôn luyện, tự kiểm tra và đánh giá kiến thức cho các em học sinh. Bên cạnh đó nội dung cuốn sách còn được chia thành 3 phần:
- Phần một: Đề kiểm tra và hướng dẫn giải
- Phần hai: Đề kiểm tra ở một vài địa phương
- Phần ba: Đề kiểm tra học sinh giỏi Toán
- Các đề Toán ôn luyện




Sách mới gộp thành 1 cuốn: Nhà xuất bản : NXB Đại học Quốc gia Hà Nội Tác giả : Nguyễn Đức Tấn, Nguyễn Đoàn Vũ, Nguyễn Bình Dương
Bài Tập Phát Triển Năng Lực Ngữ Văn 7 - Tập 1 (KN) Từ năm học 2021-2022, chương trình và sách giáo khoa Ngữ văn Trung học cơ sở mới được triển khai dạy và
Đề Thi Tuyển Sinh Vào Lớp 10 Môn Tiếng Anh (Có Đáp Án) Tác giả: Trịnh Thanh Thủy Công ty phát hành: Zenbooks Nhà xuất bản: Thế giới Năm xuất bản: 2025 Giới thiệu về sách Đề Thi Tuyển Sinh Vào Lớp 10 Môn Tiếng Anh Đề Thi Tuyển Sinh Vào Lớp 10 Môn Tiếng Anh (Có Đáp Án) là tài liệu ôn luyện lý tưởng cho học sinh lớp 9 trong giai đoạn nước rút trước kỳ thi vào lớp 10. Cuốn sách tổng hợp các đề thi bám sát cấu trúc chính thức, giúp học sinh làm quen với dạng đề, nâng cao kỹ năng và tự tin bước vào kỳ thi quan trọng này. Nội dung nổi bật của sách - 28 đề thi cập nhật: Bao gồm 10 đề theo cấu trúc TP.HCM, 10 đề theo cấu trúc Hà Nội, và 8 đề thi thực tế từ 2020–2024. - Kiểm tra toàn diện: Đánh giá 5 kỹ năng: Ngữ âm, Từ vựng – Ngữ pháp, Đọc hiểu, Viết lại câu, và Viết luận (tự luận và trắc nghiệm). - Đáp án chi tiết: Hỗ trợ tự học, kiểm tra và đánh giá năng lực bản thân. - Phân chia theo vùng miền: Đáp ứng đặc thù đề thi của Hà Nội và TP.HCM, sát với thực tế. Điểm khác biệt của sách - Cập nhật mới nhất 2025: Phản ánh chính xác cấu trúc và xu hướng đề thi hiện tại. - Thực tiễn cao: Đề thi thực tế từ 2020–2024 giúp học sinh làm quen với áp lực thi thật. - Dễ sử dụng: Phù hợp cho tự học hoặc học cùng giáo viên/gia sư, với đáp án rõ ràng. - Uy tín biên soạn: Được đội ngũ giáo viên giàu kinh nghiệm của Zenbooks xây dựng cẩn thận. Đối tượng phù hợp Cuốn sách dành cho: - Học sinh lớp 9 ôn thi vào lớp 10, muốn nâng cao kỹ năng tiếng Anh. - Phụ huynh hỗ trợ con em ôn luyện hiệu quả cho kỳ thi quan trọng. -
Sách - Hướng dẫn ôn thi tốt nghiệp THPT môn Tin học năm học 2024-2025 (Bộ GD&ĐT công bố ngày 18/10/2024) - NXB Giáo Dục (BÁM SÁT CẤU TRÚC VÀ NỘI DUNG ĐỀ THI MINH
Mục lục: Phần 1: Hóa đại cương Chủ đề 1: Nguyên tử Chủ đề 2: Bảng tuần hoàn các nguyên tố hóa học và định luật tuần hoàn Chủ đề 3: Liên kết hóa học
Combo Bài Tập Em Học Toán Lớp 7 (Dùng Chung Cho Các Bộ SGK Mới Hiện Hành) (Bộ 2 Cuốn) Bộ sách gồm có: Bài Tập Em Học Toán Lớp 7 - Tập
Nhằm đáp ứng nhu cầu tự luyện tập, củng cố kiến thức và nâng cao kĩ năng học toán, chúng tôi trân trọng giới thiệu cùng bạn đọc cuốn sách Rèn kĩ năng học tốt

Sách - bài tập nâng cao vật lí 9 bồi dưỡng học sinh giỏi (dùng chung cho các bộ sgk hiện hành) + ha Nhằm giúp học sinh nắm vững các kiến thức trọng
Cuốn sách bài tập này dùng kèm với cuốn Em học Toán 9 (do đó trong sách có dùng kí hiệu SGK khi nói về cuốn sách trên), nhằm giúp các em có thêm bài
SÁCH - Tư liệu dạy - học địa lí 9 (dùng chung cho các bộ sgk hiện hành) Tư Liệu Dạy - Học Địa Lí 9 (Dùng Chung Cho Các Bộ SGK Hiện Hành) Sách TƯ
Cuốn sách bài tập này dùng kèm với cuốn Em học Toán 9 (do đó trong sách có dùng kí hiệu SGK khi nói về cuốn sách trên), nhằm giúp các em có thêm bài
CAM KẾT VÀ BẢO HÀNH - Đảm bảo và cam kết sản phẩm đúng với mô tả và hình ảnh của shop. - Đổi trả sản phẩm miễn phí trong vòng 7 ngày nếu sản
Sách - Hướng dẫn giải bài tập toán 9 (bám sát sgk kết nối tri thức với cuộc sống) - HA Cuốn sách Sách - Hướng dẫn giải bài tập toán 9 (bám sát sgk
Sách - Bồi Dưỡng Học Sinh Giỏi Lịch Sử 8 (Theo chương trình GDPT mới) - ndbooks Chương trình Lịch sử lớp 8 ở trường THCS có nhiều nội dung phong phú, vừa gắn với
Cuốn sách bài tập này dùng kèm với cuốn Em học Toán 9 (do đó trong sách có dùng kí hiệu SGK khi nói về cuốn sách trên), nhằm giúp các em có thêm bài
Cuốn sách " 500 bài tập cơ bản và nâng cao Toán 9" nhằm giúp các em học sinh khá, giỏi lớp 9 có một tài liệu Toán nâng cao giúp đánh giá năng lực,
Công ty phát hành: NXB Giáo Dục Việt Nam Nhà xuất bản: NXB Giáo dục Việt Nam Tác giả: Nhiều tác giả Số trang: 87 Năm xuất bản: 2025 Khổ sách: 19x26.5 cm Hình thức:
Hướng Dẫn Học Ngữ Văn 7- Tập 2 (Bám Sát SGK Chân trời sáng tạo ) Với mong ước giảm bớt gánh nặng cho quý thầy cô và giúp các em khám phá vẻ kì
Sách - Giúp em giỏi toán 9/2 (bám sát sgk kết nối tri thức với cuộc sống) - HA Cuốn sách Giúp em giỏi Toán 9 – Tập hai được biên soạn bám sát
CAM KẾT VÀ BẢO HÀNH - Đảm bảo và cam kết sản phẩm đúng với mô tả và hình ảnh của shop. - Đổi trả sản phẩm miễn phí trong vòng 7 ngày nếu sản
Sách - Notebook sổ tay ngữ pháp tiếng anh tiểu học và trung học cơ sở - HA Cuốn " Notebook sổ tay ngữ pháp tiếng anh (tiểu học và trung học cơ sở) hệ
Ưu điểm của cuốn sách này: 1. Chọn lọc thông tin: Cuốn sách được chắt lọc và tóm tắt ngắn gọn từ 48 chương trọng tâm, giúp học sinh dễ dàng tiếp cận và hiểu được
Tổng Hợp Các Bài Toán Phổ Dụng Đại Số 9 là một cuốn sách hay do TS. VŨ THẾ HỰU - NGUYỄN VĨNH CẬN biên soạn nhằm giúp các em học sinh tự học ở
Phát Triển Kĩ Năng Đọc - Hiểu Và Viết Văn Bản Theo Thể Loại Môn Ngữ Văn 8 (Bám Sát SGK Chân Trời Sáng Tạo) Với mong muốn giúp các em học sinh có
Bồi Dưỡng Học Sinh Giỏi Khoa Học Tự Nhiên 8 (Dùng Chung Cho Các Bộ SGK Hiện Hành) Bồi Dưỡng Học Sinh Giỏi Khoa Học Tự Nhiên 8 (Dùng Chung Cho Các Bộ SGK
Bài tập tiếng Anh 7 - Có đáp án (Dùng kèm SGK Global Success) Bản mới 2024 được tái bản và cập nhật theo bộ sách giáo khoa Tiếng Anh – Global Success của Bộ
Bộ Đề Kiểm Tra Toán 9 (Bám Sát SGK Chân Trời Sáng Tạo) Sau một năm thực hiện Chương trình Giáo dục phổ thông mới, với phương châm là vừa giúp học sinh phát triển
Mô tả sản phẩm Nhà xuát bản: NXB đại học quốc gia hà nội năm xuất bản : 2025 trang: 120 nhà phát hành : nhà sách hồng ân tác giả : nhiều tác giả
SÁCH 400 bài toán chịn lọc hóa học 9 + HA Để giúp các em học sinh khá, giỏi có thêm tài liệu tham khảo, rèn luyện kĩ năng giải toán Hóa học, chúng tôi
THÔNG TIN CHI TIẾT - Tác giả : Nguyễn Phước Lợi - Nhà xuất bản : NXB Dân Trí - Kích thước : 16 x 24 cm - Số trang : 144 trang - Loại
Take Note! - Trọng Tâm Kiến Thưc Tiếng Anh Trung Học Cơ Sở Bạn đang tìm một cuốn sách giúp nắm chắc kiến thức tiếng Anh từ lớp 6 đến lớp 9? "Take Note! Trọng
Bồi Dưỡng Học Sinh Giỏi Tiếng Anh 8 (Dùng Chung Cho Các Bộ SGK Hiện Hành) Các em học sinh thân mến! Quyển sách “BỒI DƯỠNG HỌC SINH GIỎI TIẾNG ANH 8” được biên soạn nhằm mang
Hướng Dẫn Học Tốt Toán Lớp 8 - Tập 2 (Bám Sát SGK Cánh Diều) Sau một năm thực hiện chương trình giáo dục phổ thông mới, với phương châm là vừa giúp học
Phát Triển Trí Thông Minh Toán 5 (Dùng Chung Cho Các Bộ SGK Hiện Hành) Nhằm giúp quý thầy, cô, phụ huynh có thêm tư liệu hướng dẫn con em và để các em
Các bài tập trong cuốn Tổng Hợp Các Bài Toán Phổ Dụng Hình Học 9 được chọn lọc từ nhiều sách tham khảo, được sắp xếp chương và mục lục theo chương trình hiện hành
Sách củng cố và ôn luyện Vật lý 8 là những kiến thức vàtrọng tâm được tổng hợp và bám sát theo chương trình Giáo dục và Đào tạo, tạo nên tảng vững chắc cao
Hướng Dẫn Học Và Phương Pháp Giải Toán 8 - Tập 1 (Bám Sát SGK Chân Trời Sáng Tạo) Sau một thời gian thực hiện chương trình giáo dục phổ thông mới, với cương lĩnh
Tác giả: Đại Lợi (chủ biên) - Hằng Nguyễn Giá bìa: 85.000 ₫ NXB: NXB Đại Học Quốc Gia Hà Nội Phát hành: Minh Thắng Năm xuất bản: 2023(ISBN: 86)(Mã sách:
Nhằm đáp ứng nhu cầu tự luyện tập, củng cố kiến thức và nâng cao kĩ năng học toán, chúng tôi trân trọng giới thiệu cùng bạn đọc cuốn sách Rèn kĩ năng học tốt
Cuốn sách được biên soạn một cách tỉ mỉ theo chương trình sách giáo khoa Tiếng Anh Global Success và được chia thành hai phần chính: phần bài tập cơ bản và phần bài tập
Bài Tập Tiếng Anh 7 - Không Đáp Án (Mai Lan Hương) Bài Tập Tiếng Anh 7 - Không Đáp Án (Mai Lan Hương) được biên soạn dưới dạng vở bài tập, dựa theo sách
GLOBAL SUCCESS Chinh phục 4 kỹ năng tiếng anh nghe - nói - đọc - viết lớp 7 tập 1
Phương Pháp Giải Bài Tập Toán 7 - Tập 1 (Dùng Kèm SGK Kết Nối Tri Thức Với Cuộc Sống) Quý Thầy, Cô cùng quý phụ huynh thân mến! Các em học sinh yêu quý!
Tác giả: Đại Lợi (chủ biên) - Hằng Nguyễn Giá bìa: 85.000 ₫ NXB: NXB Đại Học Quốc Gia Hà Nội Phát hành: Minh Thắng Năm xuất bản: 2023(ISBN: 86)(Mã sách:
Bộ Lịch Kiến Thức Cần Nhớ Khoa Học Tự Nhiên 6 (Dùng Chung Các Bộ SGK Hiện Hành) GIỚI THIỆU SÁCH: Bộ Lịch Kiến Thức Cần Nhớ Khoa Học Tự Nhiên 6 là một tài liệu
Sách - Bồi dưỡng khoa học tự nhiên 6 (dùng chung các bộ sgk hiện hành) - HA Cuốn sách Bồi dưỡng học sinh giỏi KHOA HỌC TỰ NHIÊN 6 được xuất bản nhằm cung
CAM KẾT VÀ BẢO HÀNH - Đảm bảo và cam kết sản phẩm đúng với mô tả và hình ảnh của shop. - Đổi trả sản phẩm miễn phí trong vòng 7 ngày nếu sản
Nhà xuất bản: NXB Dân Trí Tác giả: Phan Văn Đức Loại bìa: Bìa Mềm Số trang: 156 Năm xuất bản: 2025 Toán Nâng Cao Bồi Dưỡng Học Sinh Khá, Giỏi 6 Được
Sách - Kiến thức cần nhớ Khoa học tự nhiên 9 (dùng chung cho các bộ SGK hiện hành) HA Năm Phát Hành 2025 Nhà Xuất Bản Đại Học Quốc Gia Hà Nội Tác
Nhằm đáp ứng nhu cầu tự luyện tập, củng cố kiến thức và nâng cao kĩ năng học toán, chúng tôi trân trọng giới thiệu cùng bạn đọc cuốn sách Rèn kĩ năng học tốt
Cuối mỗi phần có một số Bài đọc thêm về lịch sử toán học. Riêng các nội dung về hình học tổ hợp và phương trình với nghiệm nguyên được giới thiệu trong các cuốn
Sách - Học tốt toán 6 Thông tin: Tác giả: Nguyễn Đức Tấn và nhiều tác giả khác Nhà Xuất Bản: NXB Đại học Quốc gia Hà Nội Số trang 226 Năm xuất bản 2022
Phương Pháp Tư Duy Tìm Cách Giải Toán Đại Số 8 Phương Pháp Tư Duy Tìm Cách Giải Toán Đại Số 8, giúp các em tìm tòi cách giải bài tập toán đại số lớp
Thông tin chi tiết: Công ty phát hành: NS Hồng Ân Tác Giả: Nhiều tác giả Số trang: 195 Năm xuất bản:2023 Khổ sách:19x27cm Hình thức :bìa mềm NXB: NXB Đại học quốc gia Hà
Hướng Dẫn Học Tốt Ngữ Văn 7 - Tập 2 (Bám Sát SGK Cánh Diều) Tiếp tục đồng hành cùng với chủ trương lớn của Đảng và Nhà nước – thay đổi sách giáo khoa,
270 Đề Và Bài Văn Hay Lớp 6 (Dùng Chung Cho Các Bộ SGK Hiện Hành) Các em học sinh lớp 6 thân mến! Trên tay các em là cuốn sách 270 Đề Và Bài Văn Hay
Bài Tập Tiếng Anh 8 (Không Đáp Án) Dùng Kèm SGK Tiếng Anh 8 (Bám Sát SGK Cánh Diều I-Learn Smart World) Cuốn sách “Bài tập tiếng Anh 8 – Dùng kèm SGK Tiếng Anh 8" được biên soạn dựa
Bồi Dưỡng Học Sinh Giỏi Khoa Học Tự Nhiên 6 (Dùng Chung Cho Các Bộ SGK Hiện Hành) Cuốn sách Bồi dưỡng học sinh giỏi KHOA HỌC TỰ NHIÊN 6 được xuất bản
400 Bài Toán Cơ Bản Lớp 9 (Dùng Chung Cho Các Bộ SGK Hiện Hành) ĐẠI SỐ Chương I. CĂN BẬC HAI – CĂN BẬC BA I. Căn bậc hai II. Căn thức bậc
NXB : NXB Đà Nẵng Tác giả : Mai Lan Hương – Hà Thanh Uyên Khổ: 19 x 26.5 cm Số trang : 216 Loại bìa : Bìa miềm Xuất bản năm 2023 Hướng
👁️ 25 | ⌚2025-09-30 18:30:04.605


Luật tổ chức tòa án nhân dân năm 2024 (sửa đổi, bổ sung năm 2025) Tác giả: Quốc Hội Nhà xuất bản: Chính Trị Quốc Gia Sự Thật Khổ sách: 13*19 cm Phát hành: 8.2025
Cuốn “Luật Tổ chức Tòa án nhân dân năm 2024 (sửa đổi, bổ sung năm 2025)” được Nhà xuất bản Chính trị quốc gia Sự thật phát hành, là văn bản pháp lý quan trọng
Nhà Cung CấpBÁO TIỀN PHONGTác giả Nhiều Tác Giả NXBBáo Sinh Viên VN - Hoa Học TròNăm XB2024Ngôn Ngữ Tiếng Việt Kích Thước Bao Bì22 x 15 x 1.5 cmSố trang300Hình thức Bìa Mềm Lớp
Trong tập 2, sách nêu diễn biến, đặc trưng cơ bản của lịch sử ở phương Đông thời kỳ trung đại, gồm châu Á và châu Phi, thế giới Hồi giáo, đế quốc Mông Cổ,
● Công ty phát hành: Công ty TNHH TM-DV Văn Hóa Trí Dân ● Nhà xuất bản: Nhà Xuất Bản Khoa Học Và Kĩ Thuật ● Tác giả: Nguyễn Trọng Thắng, Trần Thề San ●
Trên tay các em là cuốn sách “ Tìm Hiểu Về: Cơ Thể Người ”. Những hình ảnh sinh động cùng những thí nghiệm trực quan giúp các em dễ dàng tiếp cận với các kiến thức
Bản Thiết Kế Vĩ Đại Giới thiệu tóm tắt tác phẩm:Nội dung cuốn sách, như tác giả nói ngay từ dòng đầu tiên của chương một, là chuyện “Bí ẩn của kiếp nhân sinh”, là
Chi tiết sản phẩm Nguyên nhân dẫn tới thành công kỳ diệu của dân tộc Do Thái đã được các học giả thế giới nghiên cứu kĩ lưỡng, nhưng thực tế không một dân
70++ Trò Chơi Giúp Em Khám Phá Thế Giới - Mê Cung 70++ TRÒ CHƠI GIÚP EM KHÁM PHÁ THẾ GIỚI là bộ sách “học mà chơi, chơi mà học” rất lý tưởng cho trẻ
Giải đáp giúp các trẻ, đang muốn tìm hiểu khám phá về “Ngôi nhà Trái đất” thông qua cuốn sách này bé được khám phá Trái đất của chúng ta, tuổi của Trái đất đến
Công ty phát hành: Alphabooks Tác giả: Nhiều tác giả Nhà xuất bản: NXB Thế Giới Năm xuất bản: 2022 KÍch thước: 13 x 18 cm Quy cách: Bìa mềm Số trang 222 Einstein Bỏ
Cuốn sách "Gia Đình Trung Lưu Ở Việt Nam Với Các Quá Trình Phát Triển Kinh Tế - Xã Hội - Văn Hóa" là một nghiên cứu chuyên sâu về vai trò và tác động
Cuốn sách "Tái cấu trúc kinh tế vùng Nam Trung Bộ nhằm phát triển bền vững đến năm 2020 và tầm nhìn đến năm 2030" do TS. Bùi Đức Hùng (chủ biên) biên soạn và xuất bản
Là một người trẻ, với biết bao băn khoăn về cuộc đời và nhân sinh đang mở ra trước mắt, đã bao giờ bạn tự hỏi: Tại sao phải hoài nghi? Tại sao phải tưởng
Nội dung cuốn sách, như tác giả nói ngay từ dòng đầu tiên của chương một, là chuyện “Bí ẩn của kiếp nhân sinh”, là những câu hỏi tối hậu về sự sống, vũ trụ
Những Sinh Vật Huyền Thoại: Thế Giới Bí Ẩn Của Kì Lân Nếu bạn cho rằng kì lân chỉ là tưởng tượng… hãy nghĩ lại! Từ giải phẫu học đến quá trình tiến hóa, còn
Chương trình giáo dục phổ thông mới đã được triển khai rộng rãi trên cả nước và đang nhận được nhiều phản hồi tích cực. Để giúp giáo viên, học sinh và các bậc phụ
Bấm Huyệt Chữa Bệnh Và Bảo Vệ Sức Khoẻ Bấm huyệt là cách trị bệnh theo phương pháp tự nhiên ngày nay đã được phổ biến rộng rãi trong dân chúng. Bạn có thể mày
1.Ướm Giày Công ty phát hành: NXB Phụ Nữ Việt Nam Tác giả: Mai Thị Việt Thắng, KUI Phạm Ngày xuất bản: 2022--01 00:00:00 Kích thước: 17x24cm Loại bìa: Bìa mềm Số trang: 16 Nhà
Trong gia đình, mọi người thường đánh giá cao vai trò giáo dục của người mẹ, vì rõ ràng trong mỗi gia đình không thể thiếu sự có mặt của người mẹ.Nhưng điều này không