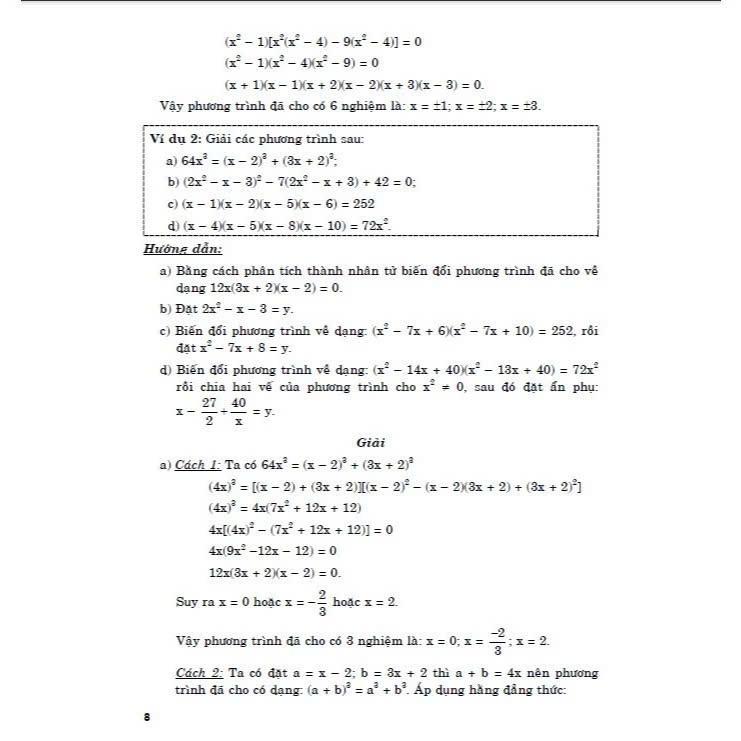
✨Sách - Toán Nâng Cao Đại Số 9 - Dùng Chung Các Bộ SGK Hiện Hành - Nguyễn Thiện Chí - Hồng Ân









Sách - Toán Nâng Cao Đại Số 9 - Dùng Chung Các Bộ SGK Hiện Hành Đại số là mảng kiến thức rất quan trọng trong toán học phổ thông. Nhằm giúp các em học sinh lớp 9 ôn thi vào lớp 10 THPT cũng như các em học sinh chuyên Toán có một tài liệu mang tính hệ thống để ôn luyện, nâng cao kiến thức kỹ năng giải toán và đạt kết quả cao nhất trong các kỳ thi Học sinh giỏi, kỳ thi Tuyển sinh vào lớp 10 cũng như thi vào các lớp chuyên, tôi biên soạn cuốn sách này. Chương 1. Căn bậc hai Chương 2. Hệ phương trình bậc nhất Chương 3. Phương trình bậc hai Chương 4. Ôn tập toàn năm
Nhà Phát Hành: Nhà Sách Hồng Ân Nhà Xuất Bản: NXB Đại Học Sư Phạm Tác Giả: Nguyễn Thiện Chí Hình Thức: Bìa Mềm Số Trang: 266 Kích Thước: 16 x 22 cm Ngày Xuất Bản: 2024




Chuyện Tình Cửu Long - Tập 10 Những bí ẩn xung quanh cái ch.ết của Kujirai B dần được vén màn. Trong quá khứ, cô và Kudo hẹn hò rất hạnh phúc, thậm chí Kudo
Cuốn Sách Kiến Thức Bách Khoa Hay: Cuốn Sổ Lớn Montessori Về Lịch Sử Thế Giới (Bìa Mềm) Chào mừng đến với hành trình Montessori đặc biệt của chúng tôi, để tìm hiểu về lịch
“Chuyện chi đây” cuốn sách thứ 2 của thầy Lý Tứ sau cuốn “Câu chuyện trên mây” do Thái Hà xuất bản, cuốn sách tập hợp hơn 70 câu hỏi và cách trả lời trực
Combo Kỹ Năng Sống Đẹp: Tony Buzan - Sức Mạnh Của Trí Tuệ Xã Hội + Phút Nhìn Lại Mình (Bộ 2 Cuốn Sách Được Độc Gỉa Yêu Thích Nhất) 1, Tony Buzan -
Cuốn sách giúp chúng ta đồng hành cùng hai nhà khoa học Özlem Türeci và Uğur Şahin, cùng với những nhân viên của họ trong công ty BioNTech, trên con đường tìm ra loại vắc-xin
Đắc Nhân Tâm - Bí Quyết Để Thành Công Cuốn Đắc Nhân Tâm – Bí Quyết Để Thành Công được dịch ra nhiều thứ tiếng và bán được mấy chục triệu bản trên khắp thế
Điểu gì đang ngăn cản bạn thay đổi những điều bạn muốn? Điều gì đang cản trở bạn thử thách bản thân với những trải nghiệm mới? Khi nỗi sợ đã xuất hiện trong bạn,
Cuốn Sách Kỹ Năng Hay Để Bạn Luôn Thành Công Trong Công Việc: Kỹ Năng Sáng Tạo Trong Làm Việc Nhóm Tại sao chúng ta cần làm việc nhóm? Đơn giản là chúng ta không
Thử đi chờ chi – Sức mạnh thay đổi số phận của “Một lần làm thử” ------------ Thử đi chờ chi – Sức mạnh thay đổi số phận của “Một lần làm thử”
Câu Chuyện Môi Trường - Cartoon Guide Cuốn sách bao gồm những chủ đề chính về khoa học môi trường như các chu trình hóa học, nền nông nghiệp, sự phát triển dân số, nguồn
*Sách thuộc kho sách cũ, sách tồn kho, không đổi trả. Khách hàng vui lòng cân nhắc trước khi mua* Mười Lẻ Một Đêm "Có một người đàn ông và một người đàn bà bị
Bỗng Dưng Muốn Sống Với bốn cuốn tiểu thuyết đã xuất bản dạng khổ lớn và ba cuốn dạng sách bỏ túi, Laurent Gounelle đã hai lần được ghi tên trong bảng xếp hạng 10
Lấy Người Mình Yêu, Làm Điều Mình Thích Tôi đang dò dẫm tìm đường giữa thiên nhiên đất trời hùng vĩ, gắn kết sinh mệnh ngắn ngủi của mình với một góc gập ghềnh của
Khi gặp khó khăn hay không vừa lòng với một chuyện gì đó, đầu tiên bạn sẽ làm gì? Tôi dám cá rằng, đến 80% độc giả sẽ trả lời là than thở với ai
Tại Sao Chúng Ta Không Hạnh Phúc? ------------ Tại Sao Chúng Ta Không Hạnh Phúc? Cuốn sách nêu các quan điểm của tác giả Phí Tuyết, một cô gái 9X cực kì cá tính,
Cuốn sách này có thể coi là cuốn sách thứ ba mà tôi viết. Khi bắt tay vào viết, tôi luôn tự hỏi bản thân một câu hỏi: Nếu như đây là cuốn sách cuối
Kẻ Ngây Thơ, Người Từng Trải Và Câu Chuyện Tình Của Chúng Tôi - Tập 2 Ryuto, một nam sinh trung học hướng nội đã bắt đầu hẹn hò với Runa - cô gái xinh
50 Thiên thần của bạn là một hướng dẫn nhỏ về tinh thần cho cuộc sống của chúng ta. Mỗi thái độ trong số 50 thái độ này được ví như một thiên thần đức
I. GIỚI THIỆU Nhiều người trong chúng ta tin rằng cuộc đời của ta bắt đầu từ lúc chào đời và kết thúc khi ta chết. Chúng ta tin rằng chúng ta tới từ cái
Chữa Lành Đứa Trẻ Bên Trong Bạn (Tái Bản) ------------ Cuốn sách này là quá trình khám phá và phục hồi dành cho những người trưởng thành gặp tổn thương từ gia đình. Khái
Sổ Tay Điềm Tĩnh & Nóng Giận Trong cuộc sống thường ngày, chúng ta thường nổi giận vì nhiều nguyên do: công việc không suôn sẻ, áp lực từ xã hội. Thậm chí, chúng
Gieo Thói Quen Nhỏ, Gặt Thành Công Lớn ------------ Mọi người thường nghĩ, chính họ là nguyên nhân khiến bản thân không thể đạt được sự thay đổi lâu dài. Nhưng vấn đề ở
Gieo Thói Quen Nhỏ Gặt Thành Công Lớn Mọi người thường nghĩ, chính họ là nguyên nhân khiến bản thân không thể đạt được sự thay đổi lâu dài. Nhưng vấn đề ở đây không
Định Vị Bản Thân Cuốn sách là cẩm nang hướng dẫn các bước xây dựng thương hiệu cá nhân trên mạng xã hội nói riêng cũng như các nguyên lý xây dựng thương hiệu cá
Phép Màu Để Trở Thành Chính Mình (Tái Bản 2018) Cuốn sách Phép màu để trở thành chính mình chính là những đúc kết thành công qua những nỗ lực vượt khó của tác giả,
Cạm Bẫy Của Thành Công Thành công và hạnh phúc không giống nhau. Bất chấp điều đó, nhiều người vẫn làm những công việc “bên ngoài mang lại thành công nhưng bên trong lại chẳng
Chữa Lành Đứa Trẻ Bên Trong Bạn (Tái Bản) ------------ Cuốn sách này là quá trình khám phá và phục hồi dành cho những người trưởng thành gặp tổn thương từ gia đình. Khái
Óc Sáng Suốt Óc sáng suốt là một trong những tác phẩm tiêu biểu của học giả Thu Giang - Nguyễn Duy Cần. Thông qua cuốn sách này, tác giả hướng dẫn cho người đọc những
Cuốn Sách Về Thay Đổi Tư Duy Để Thành Công: Làm Thế Nào Để Sống Một Đời Tốt Đẹp - Hãy Biến Ước Mơ Thành Hiện Thực Chúng ta, bạn, một người đàn ông, một
Sức Mạnh Của Sự Khen Ngợi “Khen ngợi thì có gì khó, chẳng phải dễ như trở bàn tay sao?”, trong mười người thì có đến chín người cho rằng khen ngợi là một việc
Nghệ Thuật "Đánh Cắp" Ý Tưởng - 10 Bí Mật Không Ai Nói Với Bạn Về Sáng Tạo Nhà xuất bản : Nhà Xuất Bản Thế Giới. Công ty phát hành : Alphabooks. Tác giả
Bạn Có Phải Cá Hồi Chum Không? Tâm lí học gắn bó mật thiết với cuộc sống của nhân loại. Trong Kinh thánh, có câu chuyện kể về việc Adam và Eva ăn trộm trái
Tại sao chúng ta cần làm việc nhóm? Đơn giản là chúng ta không hoàn hảo, làm việc nhóm sẽ tập trung những mặt mạnh của từng người và bổ sung những điểm yếu cho
Đôi khi thứ cản trở bạn giao tiếp với người khác không phải là ngoại hình hay cách ăn mặc không phù hợp của bạn, mà chính là trờ ngại xuất phát từ nội tâm.
Dẫn Lối Ngôn Từ ------------ DẪN LỐI NGÔN TỪ 10 QUY TẮC KỂ CHUYỆN ĐỂ THUYẾT PHỤC BẤT KỲ AI Ai cũng có câu chuyện để kể Có rất nhiều lý do khiến bạn
Hóa Giải Giận Dữ Những phương pháp hữu hiệu kiềm chế cơn giận của đối phương Sếp luôn nổi giận vô cớ với bạn? Vợ bạn luôn cáu gắt vì những chuyện nhỏ nhặt hằng
Yêu Anh Hơn Cả Tử Thần (Tái Bản) Tôi đã bảo với cô rồi mà, tôi là kẻ đã đặt một chân vào quan tài. Thần chết sớm muộn gì cũng đến mang tôi đi
NỖI NHỚ VẸN NGUYÊN THAO THỨC QUAY VỀ MỘT HÀ NỘI VẸN NGUYÊN TRONG VĂN CỦA QUÁCH THÚY QUỲNH Đọc đi, đọc lại cuốn sách này, trong tôi vẫn thường trực một cảm giác nhẹ
“Vào một buổi sớm, tôi nhận ra hạt đậu đã nẩy mầm mặc cho những năm tháng bỏ mặc không vun xới. Dường như nỗi đau có một cách vận hành riêng của nó, không
Cảm Ơn Anh Đã Đánh Mất Em “Hãy đọc để một ngày nào đó, nếu chúng ta gặp lại, ta vẫn muốn được chào nhau một câu, hỏi han nhau vài lời. Và cảm
Nhà văn và Cuộc sống số 12 - số đặc biệt Xuân Quý Mão 2023 Sau một thời gian chuẩn bị, Tạp chí Nhà văn và Cuộc đã được ra mắt. Được sáp nhập của
Thomas Paine vốn là một người gốc Anh, ông sang Mỹ định cư và sau đó tích cực ủng hộ cho phong trào giải phóng các Thuộc địa Mỹ. Sau khi cách mạng Mỹ thành
“Em đã sống cả một đời lạc lõng giữa những đám đông. Thật khó khăn. Đôi khi, ngôi nhà của chúng ta là nơi duy nhất em cảm thấy không hoàn toàn một mình. Em
Khám Phá Luật Hấp Dẫn Để Mở Khóa Thành Công (Tái Bản 2017) Khám phá luật hấp dẫn để mở khóa thành công là cuốn sách kim chỉ nam giúp bạn gia tăng sự tự
Càng Mạnh Mẽ, Càng Dịu Dàng “Trong công việc phụ nữ cũng phải cố gắng và dốc sức dốc lòng như đàn ông, nhưng tận sâu trong nội tâm, phụ nữ vẫn là phụ nữ.
25 Tuyệt Chiêu Để Thay Đổi Là bậc phụ huynh ai cũng hy vọng con mình sẽ thành tài, tuy nhiên trong cuộc sống các bé sẽ gặp phải rất nhiều khó khăn, trở ngại.
Không Hoàn Hảo Nhưng Hoàn Toàn Tuyệt Vời - Tôn Trọng Khác Biệt, Yêu Thương Chính Mình KHÔNG HOÀN HẢO NHƯNG HOÀN TOÀN TUYỆT VỜI - cuốn sách dành tặng cho những người luôn tự
Kỹ Thuật Sửa Chữa Xe Máy Cơ Bản Kỹ Thuật Sửa Chữa Xe Máy Cơ Bản là sự tổng hợp và sàng lọc những kiến thức cơ bản về sửa chữa xe máy, tham khảo kinh
Phụ Nữ Tuổi 20 Thay Đổi Để Thành Công Tuổi 20 là thời kì hoàng kim của đời người. Giai đoạn này, chúng ta không chỉ bắt gặp nhiều điều mới mẻ mà còn phải
Tất cả chúng ta đều có lúc suy nghĩ tiêu cực. Màn độc thoại nội tâm này là một phần tự nhiên của tâm trí con người. Nó luôn diễn ra bất kể đêm ngày,
Thuật Hùng Biện - Speak To Win ------------ Khả năng diễn thuyết là yếu tố quan trọng dẫn đến thành công. Một người biết ăn nói sẽ được tôn trọng, đánh giá cao hơn
Bắt Đầu Với Câu Hỏi Tại Sao "Lần đầu tiên khi tôi khám phá ra sức mạnh của lý do TẠI SAO là khi tôi cần đến nó trong cuộc đời mình. Nó không
PR Thực - Đẳng Cấp Của Sự Chuyên Nghiệp Khi bắt đầu một công việc, hình thành ý tưởng kinh doanh, đang toàn lực vận hành doanh nghiệp vượt qua sóng gió hoặc đường hoàng
Giáo Dục Thành Công Theo Kiểu Harvard Tập 3 Đại học Harvard là ngôi trường danh tiếng nhất thế giới. Hơn 300 năm qua, chiếc nôi này đã đào tạo ra 8 vị Tổng thống
Càng Kỷ Luật, Càng Tự Do KỶ LUẬT vốn là ván cờ bạn phải tự đấu với chính mình. Thắng - bạn sẽ có được “bản năng của người mạnh mẽ nhất”, đó là
Sách - Bão Giông Mới Là Cuộc Đời ------------ ão Giông Mới Là Cuộc Đời Công ty phát hành: Thái Hà Tác giả: Khenpo Sodargye Ngày xuất bản: 03-2020 Kích thước: 13 x
Đừng Biện Hộ Cho Rác (Bảo Vệ Môi Trường - Vì Một Hành Tinh Xanh) ------------ Đừng Biện Hộ Cho Rác Sau No.More.Plastic.: Những gì bạn có thể làm vì một thế giới không tràn
Sẽ có những ngày bạn không thể nhìn thấy vạch đích, hãy cứ thực hiện bước tiếp theo. Sẽ có những ngày bạn không hiểu tại sao mình phải bước tiếp, hãy tìm lại lý
Sách Kỹ Năng Sống: Hỏi Thông Minh, Đáp Cực Đỉnh - (Cuốn Sách Giúp Bạn Tạo Dựng Mối Quan Hệ / Tặng Kèm Postcard Happylife) Chúng ta đều cố gắng xây dựng những mối quan
👁️ 31 | ⌚2025-09-27 18:30:02.515


“Hội chứng rối loạn phân li tập thể” là từ ngữ được cánh truyền thông sử dụng khi đề cập đến chuỗi các sự kiện kì bí khó lí giải liên tục xảy ra trong
Chuyện Tình Cửu Long - Tập 10 Những bí ẩn xung quanh cái ch.ết của Kujirai B dần được vén màn. Trong quá khứ, cô và Kudo hẹn hò rất hạnh phúc, thậm chí Kudo
Jean Henri Casimir Fabre là một nhà tự nhiên học, nhà côn trùng học và tác giả người Pháp được biết đến qua những cuốn sách nổi tiếng với phong cách sống động về đời
Montessori Thế Giới Của Các Thành Tựu - Cuốn Sách Đầu Tiên Về Thế Giới Dành Cho Trẻ Nhà xuất bản : Nhà Xuất Bản Phụ Nữ. Công ty phát hành : NXB Phụ Nữ.
Hãy thử tưởng tượng thế giới xung quanh chúng ta giống như một căn nhà. Khi đó, khoa học chính là sức mạnh ẩn giấu bên trong ngôi nhà của bạn. Nó giúp ngôi nhà
Sách khổng lồ mở ra thế giới bí ẩn trong đêm Bạn vẫn cho rằng những con phố nơi thành thị hay vùng quê hoàn toàn yên tĩnh và hiu quạnh khi đêm xuống? Bạn
Úm Ba La Hóa Ra Thần Đồng - Thế Giới Đại Dương Bộ truyện tranh cung cấp kiến thức khoa học bổ ích cho bé. Giai đoạn đầu tiên làm quen với thế giới, bé
Sách - Hệ Thống Câu Hỏi Địa Lý 12 Theo Chủ Đề - Tác giả: Vũ Thị Ngọc Phước - Nhà xuất bản: NXB Dân Trí - Năm xuất bản: 2023 - Số Trang: 241
Thành phố Sư tử. Cường quốc châu Á. Xứ sở đa văn hóa. Thánh địa mua sắm. Thiên đường ẩm thực. Là một đảo quốc của những cao ốc sáng loáng và rừng mưa nguyên
Sách Khổng Lồ Mở Ra Thế Giới Bí Ẩn Trong Đêm Nhà xuất bản : Nhà Xuất Bản Thanh Niên. Công ty phát hành : Đinh Tị Books. Tác giả : Jiri Franta. Kích thước
Khi bước vào giai đoạn khủng hoảng đầu đời, các bạn nhỏ sẽ có nhiều phản ứng tiêu cực, thiếu sự hợp tác, đôi khi không kiểm soát được cảm xúc, hành vi… Đây chính
Từ các đền chùa và cung điện lộng lẫy cho tới các quán cà phê và quán bar thời thượng, Bắc Kinh có các địa điểm tuyệt vời để khám phá. Chỉ trong hơn ba
Quyển sách này dành cho những ai quan tâm đến quá trình phát triển và cải biến bản thân, chăm sóc sức khỏe thân thể, tâm lý và tâm linh của mình. Tất cả những
Ưu điểm của combo Mua hay bán khéo: - Giúp kích thích tư duy sáng tạo cho bé: Kích thích tư duy sáng tạo của bé thông qua việc tự tạo ra những gian hàng
Dành cho cô giáo, mẹ và bé tự làm đồ chơi. Mặt nạ dành cho bé : tập cho bé cầm kéo, rèn luyện đôi tay khéo léo, tập cho bé tính kiên nhẫn, rèn
Cuốn sách Tính toán thiết kế hệ dầm sàn thép được dùng làm tài liệu giảng dạy, học tập cho giảng viên, sinh viên ngành kỹ thuật xây dựng đồng thời dùng làm tài liệu
MÔ TẢ SẢN PHẨM Nhà phát hành: Công ty Văn Hóa Việt Thư Tác giả: Louis Ben Nhà xuất bản: NXB Phụ Nữ Việt Nam Năm xuất bản: 2024 Số trang: 14 trang Loại bìa:
sách Lịch dùng trong 1 năm Bính Ngọ 2026 Lịch Tam Tông Miếu là bộ lịch phát triển dựa theo vũ trụ quan và những triết lý tốt đẹp trong cuộc sống hàng ngày. Nội dung của
Cuốn Sách Kiến Thức Bách Khoa Hay: Cuốn Sổ Lớn Montessori Về Lịch Sử Thế Giới (Bìa Mềm) Chào mừng đến với hành trình Montessori đặc biệt của chúng tôi, để tìm hiểu về lịch
“Chuyện chi đây” cuốn sách thứ 2 của thầy Lý Tứ sau cuốn “Câu chuyện trên mây” do Thái Hà xuất bản, cuốn sách tập hợp hơn 70 câu hỏi và cách trả lời trực